温馨提示,本文较长,懒得看的,只看小标题就行了
小麦原产西亚北非一带,大约4000年前传到新疆地区。又经过不到1000年,有考古证据显示小麦已经在中国各地广为传播。相比其他国家,这个历史不算久,然而中国却比其他国家更早发明了面条。值得一提的是,中国人掌握制作面条所需的器具和技术可能比小麦传到中国还早。2002年,中国考古工作者在青海喇家遗址一处房址中发现一些陶碗,在里面找到如下面条状物体。科学工作者对此进行了检测,并于2005年刊登在《自然》杂志的简明通信(Brief communication)栏目。
这些“面”条长约50厘米,直径约0.3厘米,经过比对其中淀粉的结构,判断是用杂谷制作,有一些像小米,有一些类似黍,而它们的历史竟有4000年之久!
小麦最终在全世界风靡扎根不是没有原因的。撇开种植不谈,相比于杂谷,小麦富含面筋蛋白。这种蛋白让面团独具韧性,易于加工成不同形状,口感也更加多变。
小麦中其实有许多种蛋白质,大致分有4类:清蛋白、球蛋白、醇溶蛋白、谷蛋白。其中醇溶蛋白和谷蛋白不溶于水,统称为面筋蛋白。谷蛋白和醇溶蛋白的形状不大一样,谷蛋白比较长,像散开的线团,一根根纠结缠绕在一起,而醇溶蛋白相对来说分子要小一些,也比较孤立,缩成一个个小球。

长链的谷蛋白和球形的醇溶蛋白构成了面筋的结构。
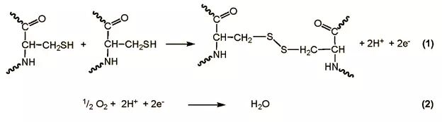
蛋白质里的半胱氨酸残基,在氧气的帮助下可以发生分子跟分子之间的交联。谷蛋白里富含这种半胱氨酸残基,而且它的分子又喜欢展开得很长,所以它的交联对面团至关重要。

蛋白质中半胱氨酸残基的交联反应式,2个巯基被氧化成二硫键。
2001年的一项研究认为酪氨酸也参与了面筋的交联反应,原理同样是氧化。本文就不细说了。
人们早就知道,刚磨出来的面粉做出的面不够筋道。原因就在于谷蛋白分子之间并没有连接起来。把磨好的面粉放一两周,蛋白质出现一定程度的氧化之后,筋性会好很多。揉面的时候,也是因为这个反应,才让面团越来越筋道。
面筋也是中国人先分离出来。我从小吃的是油面筋,炒青菜或者塞肉糜烧都好吃,在无锡吃到的最好。其他地方也有不同的形态,比如上海的烤麸用面筋发酵制成。面筋的口感很特别,耐嚼又有弹性。这些特质在面团里都会体现出来。
小时候特别爱吃面食,家里人说我像北方人。其实吃面又岂让北人专美,南京本就有吃面的习惯,小时候会去刘长兴,近年来南京更是开了好多不同特色的面馆。《舌尖2》第7集里也介绍了苏州枫镇大肉面。
陆文夫先生的《美食家》里描绘了苏州人早起吃面的情景。且不说苏州面的各种“花式”,单是基本的做法吃法就有硬面、烂面,宽汤、紧汤,拌面,重青、免青,重油、清淡,重面轻交、重交轻面,过桥等等,更不用说主人公心心念念“头汤”这样的讲究了。
小说中提到的面馆“朱鸿兴”始自1938年,在苏州还算不上老资格。早至康熙年间,瓶园子的《苏州竹枝词》就有“三鲜大面一朝忙,酒馆门头终日狂”之咏,且有小注,称面馆是“傍午即歇”,酒馆是“自晨至夜”。 面馆在以前是江南吃早点的地方。
然而面馆在中国最早至少可以追溯到南宋,那时临安就开了各色面馆,是市井百姓的去处,《梦梁录》说“此不堪尊重,非君子待客之处也。”由此也可以看出,面条很早在江南一带已然是很普及的食物了。依我的感觉,江南的面条,花样并不在面条本身,汤和浇头才是主角。一方面可能是自古江南富庶,食材丰富。另一方面,也可能和小麦的筋度有关
特意请教了面点大师冯怀申老师,他说北京炸酱面对面条质感的要求特别高,筋道必须是第一位的,所以必须选用高筋面粉来制作。事实上中国有高筋面粉这个词出现是很晚的,1988年中国才有了高筋面粉标准,在原先的特制一等粉上增加了高筋小麦粉的级别,差不多1990年代之后才在全国普及。
历史上,明代《留青日札》有“今市肆标曰重罗白面”这样的描述,与晋人束暂《饼赋》的描述并无二致,注重的是外观而不近于今人讨论的筋度。要到清代,有几个地方的面粉或者面制品曾作为贡品入过清宫,显示人们可能对产地不同的小麦质量区别有了认识。再到清末面粉工业化之后,有明确的记载面粉分成不同的等级。
全中国差不多都种植小麦,甚至南至海南岛都有,只不过那里小麦不是主要作物。上图中标出了中国1993-1997年小麦的主要产区。因为地域实在太广,品质差异很大。现代科学对于小麦的研究发现小麦的品种、降水月份、降水量、日照、昼夜温差、病害、土壤、种植方法等等都对小麦的品质有影响。在美国和加拿大,红硬春麦的蛋白质含量最高。中国的春麦产区,则因为气候和土壤的关系,不是所有地区都能适合生产硬麦,也并非所有地区的品质都好,春麦整体蛋白质含量不如北方产的冬麦。 不过仍然有少部分地区的春麦质量非常高,比如自古农业就非常发达的内蒙古的河套平原。
可以肯定的是在物资贸易和流通并不发达的时代,北方所用的面粉筋性更高。这可能也是面条在北方较为流行,而且本身更多变化的一个原因。
小麦收割下来以后,要磨成面粉。中国的石磨起源于先秦,经历了从人力到畜力再到水力的发展,在唐代有了官营和私营的专业磨粉机构。直到清末,石磨才逐渐被西洋来的机器取代。石磨在磨粉的时候做不到精细的分离,所以一部分胚芽和麸皮也被碾碎了筛不出去。这种面粉在以前算不上好,颜色不够白,筋度也不好,存放久了还会变味。不过物以稀为贵,在精面粉为主的今日,也有商家开始卖石磨面粉。在小麦整体品质提升之后,石磨面粉的筋度也有所加强。胚芽和麸皮里含有比胚乳多的脂肪和风味物质,做出的东西更有麦香。全麦的营养也确实要比精面粉全面一些的,颜色不白也可以接受。只是脂肪酸败之后会变味,保质期短的缺点还在,但在物流如此便利和储藏条件更好的今天也是可以被解决的。
全麦粉其实并不一定只有石磨才能磨出来。现代磨粉业的工艺的复杂程度远远超出一般人的想象,可以把麦粒的每个部分都精细的分出来,便于配粉,制作全麦粉自然不在话下,根据需要选择一定比例的全麦也完全可以。比如制作法式面包的面包粉也并不是高筋的精面粉,而是有一定的全麦含量,兼顾了筋性和风味。判断面粉的精度一般可以从灰分上看,因为胚乳中的灰分非常低,灰分越低则面粉越精。
最基本的配粉就是要按照蛋白质的含量来配置高、中、低筋面粉,国家对此有明确的标准。蛋白质虽然只占面团中干物质的比例不到15%,但对生面团的力学性质起了大部分作用(注意是生面团)。有一些面粉虽然蛋白质含量高,但是其中的面筋比例却稍微要低一些。更不要说面筋的品质也千差万别,最终还是要看这些蛋白质如何形成网络而不仅仅是含量这个单一的指标。 研究显示高分子量谷蛋白亚基(HMW-GS)增强了面团的强度和粘弹性,而低分子量蛋白亚基(LMW-GS)和醇溶蛋白则能让面团更富于延展性。
然而尽管蛋白质的含量和品质起了主导作用,本身还受许多因素影响。韩国KBS电视台拍摄了一部纪录片叫《面条之路》。他们在山西云冈石窟附近检测了井水的酸碱度,发现pH是7.9,微呈碱性。用同样的面粉,以微呈碱性的水揉出来的面团相比普通面团可以拉出近两倍的长度而不断。这也许就是山西发展出多种面食的基础之一。
俗语说“盐是骨头碱是筋”。面条加入食盐,不仅可以增加味道,而且可以显著让面团变硬变强。这是因为食盐里的钠离子和氯离子能和蛋白质带电的基团作用,减少蛋白质之间的斥力,让蛋白质网络更容易均匀的展开分布在面团里。
地下水或者矿泉水里还会有一些更广义一点的盐,含有钾、钙、镁或者一些其他离子。这些离子跟蛋白质的作用和食盐里的钠离子不完全相同,钙、镁一类带更多电荷的离子,即便很微量也能让蛋白质网络的强度变得更好。
弱碱性在面团里作用的原理其实并未完全清楚。一方面添加的碳酸钠一类的物质也是离子,只不过除了与蛋白质带电的基团作用以外,酸碱性的改变还能改变蛋白质所带的电性,从而改变蛋白质的构型,这也是改变面团力学性质的因素之一。
弱碱性还可以促进前面提到的蛋白质交联反应。虽然这种促进并没有选择性,不光谷蛋白可以,其他含有半胱氨酸残基的蛋白质也可以。目前看到的研究证明面团中球蛋白里的二硫键显著增加,对于谷蛋白之间二硫键的形成并没有确凿的证据,不过很显然弱碱性对这种形成是有帮助的,只是个程度的问题。 这大概就是“碱是筋”的依据。
看到这里,也许有的读者已经产生了疑问。因为不论骨还是筋,都只会增强面团的强度和弹性,减弱面团的延展性,何以试验里用微呈碱性的水揉出来的面团相比普通面团可以拉出近两倍的长度而不断呢?
这也许是在不同拉伸速度下,面团所表现出来的性状不同导致的。
如上图所展示的:
(a)是自然状态下的面团里的分子
(b)是拉伸速度特别慢,这些分子被缓缓拉离本来的位置,却因为没有足够的力量,导致这些分子仍然蜷缩在一起,所以并不能拉得很远,面团表现出来的强度也不足
(c)是拉伸的速度特别快,分子被拉得伸展开来,但是却突然断裂,导致虽然表现出的强度很大,却并未拉到最大的长度
(d)则是最理想的速度,此时面团可以充分表达自身的强度和延展性。
在拉面的时候,很多时候断裂是因为拉伸的速度过快,导致像(c)中那样突然断裂,所以面团强度的增加能够很好的防止这种情况发生。那么为了让面更好拉,有没有办法让面团既增加强度,又增强延展性呢?
在兰州,人们很早发现,添加一定量的蓬灰能让拉面更好拉。天然蓬灰无法量产,且重金属和砷易超标,现在市面上多用速溶蓬灰。据说当地人喜欢用这种速溶蓬灰多过用食用碱。有好几篇文献分析了速溶蓬灰的成分,发现其中除了食盐和食用碱,还有硫化钠(Na2S)的成分。前面已经说过,面筋的形成依赖氧化。而硫化钠作为一种还原剂,可以减少面筋的形成。盐和食用碱在蓬灰里让面团更硬,而硫化钠则让面团更具有延展性,使得蓬灰成了理想拉面剂。
唯一的问题在于硫化钠并不是合法的添加剂 ,如果市售的速溶蓬灰真的含有硫化钠,是绝对不允许加在面团里的。 另外有一种合法的还原剂L-半胱氨酸盐酸盐,但目前国标也只允许用在冷冻米面制品和发酵面制品里,应该不允许添加在拉面等非发酵生面团里。
刻意添加更多的碱,做出的就是碱水面了。南方很多地区都有,形态质感都不同。当加的碱水的pH上升到9以上时,面条会显著得变硬,伴随着颜色泛黄,最主要的是有种很特别的气味。其中的化学反应十分复杂,碱性越强,面的黄色越亮,碱味也相应更重。大部分的碱水面添加的都是碳酸钠和碳酸钾这类碱性比较弱的盐,作用还是增加面团的硬度和弹性,延展性则会变差。 碱水面几乎都分布在南方,具体的历史成因没有仔细查证,但可能因为气候等原因,南方生产的小麦筋性普遍较差,不添加碱水制作出的面条太软、发粘,口感不佳。久而久之,人们也就习惯了加碱以后的特殊风味。
添加特别多的碱的面,质感反而会变软。马来西亚有一种“福建面”,面身会添加真正化学意义上的碱——氢氧化钠。氢氧化钠的碱性要比碳酸盐强得多了,这种面条的碱味是我吃过最重的。吉隆坡的金莲记算是炒得好吃的,下了乌醋去中和碱,而且用了大量猪油让气味更温和。不过,不像当地人一样从小受这种风味的浸染,只能说吃过了,很好吃,但不会再去了。





